電話: 15248340040| 微信:15248340040|地址:通遼市霍林河大街與交通路交匯處青島花園東北門
關注公眾號了解更多信息!
2020年科爾沁區(qū)融媒體公開引進工作人員、衛(wèi)健系統(tǒng)公開引進醫(yī)務人員總成績公布。
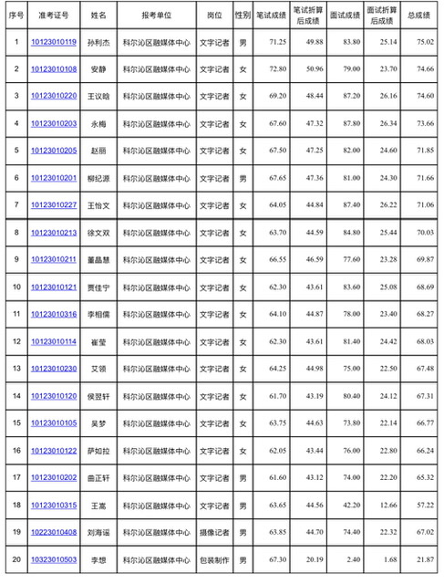
2020年科爾沁區(qū)融媒體公開引進工作人員總成績:

2020年科爾沁區(qū)衛(wèi)健系統(tǒng)公開引進醫(yī)務人員總成績:

時間:2021/3/7 19:20:16 來源 : 欄目 :招考信息 瀏覽次數:
電話: 15248340040| 微信:15248340040|地址:通遼市霍林河大街與交通路交匯處青島花園東北門
關注公眾號了解更多信息!
2020年科爾沁區(qū)融媒體公開引進工作人員、衛(wèi)健系統(tǒng)公開引進醫(yī)務人員總成績公布。
2020年科爾沁區(qū)融媒體公開引進工作人員總成績:

2020年科爾沁區(qū)衛(wèi)健系統(tǒng)公開引進醫(yī)務人員總成績:

?版權歸內蒙古鴻圖教育培訓有限公司所有 地址:通遼市霍林河大街青島花園東北門鴻圖教育 聯系電話:15248340040
工信部備案:蒙ICP備17005949號-1 網站制作 / 技術支持:通遼大尚網絡
蒙公網安備 15050202000764號